技術紹介
このページでは時代の流れと共に発展した、日本曹達が誇る化学技術を解説しています。
技術の循環で未来を解く

主要製品・技術展開図
日本曹達の発展と共に成長した3つの主要事業と、主要製品の関係性をまとめた図です。
主要製品・技術展開図
100年史・通史等より

競争力を生むコア技術・支える基盤技術
コア技術の大きな特徴は、ソーダ工業で培われた特殊化学原料の製造・取扱い技術と、有機合成全般の技術が基 盤技術となっているところです。農薬の開発に関するコア技術は農薬分野での競争力の源泉となるものですが、 これは基盤技術の上にあって初めて成立するものです。当社の様々な事業もこれらの基盤技術に拠って立つもの です。
農薬の開発に関するコア技術
農薬の開発に関するコア技術
有機合成全般に関する基盤技術
有機合成全般に関する基盤技術
特殊化学原料に関する基盤技術
特殊化学原料に関する基盤技術
薬効を高める分子設計
農薬候補化合物の早期創製を目指して、計算化学・情報化学を利用した研究も日々行っています。分子シミュレーションやケモインフォマティクスを駆使し、化合物の構造と生物活性との関係性や化合物の構造と物理化学的性質との関係性等を明らかにしていきます。コンピュータ上で実施したこれらの解析に基づいて、論理的な化合物設計研究を進めています。


自社圃場での薬効評価
殺菌剤、殺虫剤、殺ダニ剤、除草剤および生物農薬の生物研究をより実践的に進めるためには、農薬の実用場面に近い条件で試験をすることが必要です。さまざまな環境条件や作物種に対応する圃場研究を行うために、国内外の複数の試験圃場で試験を実施しています。


農薬の性質に合わせた製剤
農薬製剤は、顆粒や液剤のように固体から液体まで多くの剤型があります。また、農薬製剤は、効果を発揮するために界面活性剤や増量剤を配合しています。私たちは、新規の有効成分に対して数十ミリグラムから研究を開始し、施用状況や有効成分の能力を最大限引き出し、環境や人にやさしい製剤を創製出来るように研究しています。


生理活性評価
新たに合成された化合物の病原菌や害虫、雑草に対する生理活性を室内試験やポット試験により評価します。多数の化合物に対して効率的なスクリーニング手法による検討を行うことで、化合物の有する殺菌剤、殺虫剤、殺ダニ剤、除草剤としての可能性を判断します。また、生化学、生理学、分子生物学的な手法を用いて、新たな作用を有した農薬の創出を目指します。


薬理・毒性、薬物動態、蓄積性評価
農薬として使用されたときに人体に与える影響を推定評価するために、薬理・毒性研究では多岐にわたる試験が必要とされます。開発初期化合物の探索研究から市販剤の登録対応まで、安全な農薬を開発するために様々なフェーズで開発研究に携わっています。また、農薬の暴露による影響を調べるために、薬物動態や蓄積性評価では動物、植物、環境中における挙動や代謝物・分解物を調査・分析することにより、農薬の安全性評価に役立てています。


有機化合物の設計・合成
新規農薬探索では、シード化合物やリード化合物を起点とし、有機合成化学を用いて最適化していきます。その過程では生物活性や薬理動態、動物・環境毒性、新規性など様々な課題を解決していかなくてはなりません。これらの問題点の要因を探り、解決しうる適切な化合物を設計するため、生物系や分析系の研究者とディスカッションを重ねながら日々合成研究を進めています。


有機化合物の分析・解析
材料および農薬の研究開発、営業、普及等のために、各種事業を支援しています。各種評価技術に関連した分析評価方法の開発や新規分析技術の習得を行っています。
断熱性暴走反応熱量計(ARC)

キャピラリー電気泳動(CE)

ポリマー合成、アニオン重合
当社保有製品である、ポリブタジエン、SBSを活用した高機能材料の開発のほか、次世代高速通信材料向けとして、当社重合技術を応用した高耐熱性で低誘電性など優れた材料特性を有する新規ポリマーの開発を行っています。


主にリビングアニオン重合技術を活用したポリマー合成を行っています。
関連する製品情報は下記の事業ページからご確認いただけます。
機能性化学品事業代表的な合成例

※1 関連する製品情報はNISSO-PBページにてご確認いただけます。
※2 関連する製品情報はLiquid_1,2-SBS.pdfページにてご確認いただけます。
毒劇物の製造と取扱い
数多くの毒劇物を安全に製造し取り扱っています。
- 毒物製造業登録 POCl3、NaCNなど5化合物
- 劇物製造業登録 Cl2、NaOHなど43化合物
- その他取り扱い化合物多数
危険性ガスの実施例
塩素およびその誘導体、シアン化水素、エチレンオキサイド等、多くの危険性ガスを安全に製造し、特徴ある反応に適用しています。
関連する製品情報は下記の事業ページからご確認いただけます。
塩素の製造と反応の実施例

塩化水素を用いた反応の実施例

ホスゲンを用いた反応の実施例

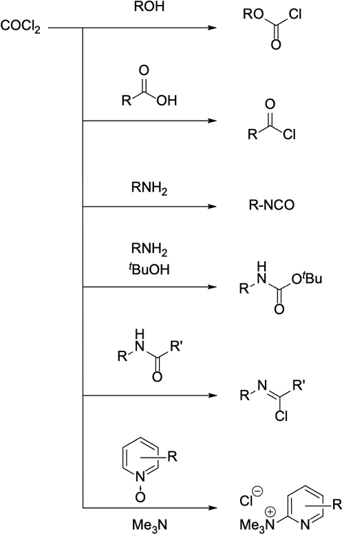
シアン化水素を用いた反応の実施例

※1 関連する製品情報はクロールアルカリ事業ページにてご確認いただけます。
※2 関連する製品情報は医薬品事業ページにてご確認いただけます。
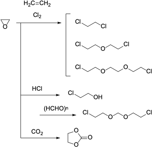
エチレンオキサイドを用いた反応の実施例

プロビレンオキサイドを用いた反応の実施例

※3 関連する製品情報は医薬品事業ページにてご確認いただけます。
医薬品グレードの製造技術・品質管理
長年培った医薬品製造技術と品質管理システムにより、多くの医薬品原体や医薬品中間体を製造しています。
関連する製品情報は下記の事業ページからご確認いただけます。
医薬品事業代表的な合成例

殺菌・抗菌剤、バイオサイド製品開発
バイオサイド関連製品とは、一般工業分野の有害生物(ウイルス、細菌、カビ、藻、シロアリなど)を防除する薬剤を指し、塗料、プラスチック、ゴム、紙パルプ、木材、建築材料、繊維など様々な分野に適用されます。自社の農薬開発技術を有効活用し、有効成分探索、製剤化技術、生理活性評価、分析評価技術を結集して、ユーザーのニーズに柔軟に対応する製品開発を行っています。

